문제 출제부터 시스템 개발, 운영까지 직접 수학 대회를 개최해보았다
2025-09-24
-
저는 2023년 5월 서울대학교에서 열린 적분 대회에 참가해 우승을 차지한 경험이 있습니다. MIT Integration Bee와 같은 형식의 대회를 직접 체험할 수 있어 매우 즐거운 시간이었습니다. 그러나 이후 2024년과 2025년에는 적분 대회가 열리지 않았고, 제가 직접 적분 대회를 열어보면 재밌겠다는 생각이 들었습니다. 운이 좋게도 서울대학교 수학 커뮤니티에서 뜻이 맞는 분을 만나 함께 준비를 시작할 수 있었습니다.
이 글에서는 대회를 준비하면서 중점적으로 신경 쓴 부분들, 그리고 대회를 되돌아보며 아쉬웠던 점들을 정리하고자 합니다.
대회 생중계 다시보기 (유튜브): 최종진출전 | 8강 | 4강 | 결승
문제 (해설 X): 예선 | 본선
문제 (해설 O): 예선 | 최종진출전 | 8강 | 4강 | 결승
유튜브 결승 생중계 영상
중점적으로 준비한 부분은 크게 3가지로 적분 문제, 스크린 시스템, 물품입니다. 각각에 대해서 상세하게 이야기해보겠습니다.
행사의 목적 자체가 적분을 제일 잘 하는 대학생을 가리는 대회이므로 적분 문제를 출제하는 것이 제일 중요합니다. 이를 위해서는 적분 문제의 방향성을 정해야 하는데, 객관적인 기준을 선정하기 위해 우선 MIT Integration Bee의 기출 문제부터 분석해 봤습니다.
2022년부터 2025년까지 모든 문제를 풀어보고 분야별로 정리했습니다.
그 후에 정한 문제의 방향성은 다음과 같습니다.
기본적으로 MIT 기출 문제와 유사한 방향성 선택
MIT 적분 대회 문제의 특징은, 문제에 등장하는 함수나 식 자체는 고등학생도 이해할 수 있을 정도로 간단하지만 풀이는 매우 어렵다는 것입니다. 저는 이러한 특징이 마음에 들었고, 유사한 방향성으로 문제를 출제하기로 하였습니다. 구체적인 예시를 들어보면 다음과 같습니다.
참가자가 처음 보는 참신한 형태의 문제
당연하면서도 꼭 필요한 기준입니다. 적분 문제의 풀이 실력을 가리는 대회인데, 참가자가 이미 답을 알고 있는 문제가 나온다면 그저 답 빨리 쓰기 대회가 될 것이며, 참가자의 의욕 또한 떨어뜨릴 수 있습니다. 그래서 문제의 난이도와 별개로 문제 비주얼의 참신함을 항상 챙길 수 있도록 노력하였습니다. 너무 흔하게 보이는 적분이라서 출제를 피한 문제의 예시는 다음과 같습니다.
추가로, 기존 대회의 문제에서 숫자만 바꾸는 식의 단순 변형은 철저히 피했습니다. 이는 사실상 문제를 그대로 베끼는 것이나 다름없기에, 참가자 입장에서는 새로움도 없고 주최측의 성의도 느껴지지 않기 때문입니다. 만약 기존 대회의 문제에서 좋은 아이디어가 있다면 그 핵심 발상은 살리되 문제의 형태는 새롭게 구성하여 단순한 풀이 암기로는 풀 수 없도록 했습니다. MIT 대회 문제의 아이디어를 응용해 제작한 문제들은 다음과 같습니다.

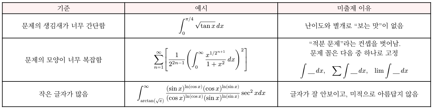
문제의 생김새가 아름다워야 함
다음으로 문제의 비주얼이 아름다워야 합니다. 즉 문제를 보는 맛이 있어야 한다는 건데요, 기본적으로 제 개인적인 미적 감각이 크게 작용하긴 했지만 굳이 객관적인 기준으로 명시해보자면 다음과 같습니다.
좋은 문제들의 기준과 예시
반대로, 저희가 개발하였으나 생김새에 결함이 있어 출제 과정에서 제외된 문제들의 예시는 다음과 같습니다.
제외된 문제들의 기준과 예시
더 나아가 미적 기준을 충족한 문제라도 그 문제 본연의 아름다움을 최대한 끌어내기 위해 노력했습니다. 괄호의 위치나 존재 여부에 따라 문제의 전체 인상이 달라질 수 있기에, 여러 버전을 실험하며 최종 출제 형태를 선정했습니다.
예를 들어 [8강1경기문제2]의 경우 괄호 위치에 따라 위와 같은 세 가지 표현이 가능한데, 가장 가독성이 좋고 비주얼도 간결한 가운데 표현을 선택하였습니다.
한편 함수의 괄호 존재 여부를 세심하게 고민한 문제들도 있습니다.
[4강1경기문제1]의 경우 삼각함수가 중첩되어 있다는 것을 강조하기 위해 와 같이 괄호를 적었지만 (왼쪽),
[4강1경기문제4]는 괄호 때문에 식이 더 번잡해 보이기만 하므로 괄호를 치지 않고 와 같이 적었습니다 (오른쪽).
특정 공식에 깊게 의존하는 문제 배제
MIT 기출문제를 풀다 보면 Glasser's Master Theorem을 활용하는 문제가 가끔 나옵니다. 이 정리는 다음과 같은 공식을 말합니다.
예를 들어, [MIT2024STP2]는 이 공식을 직접적으로 사용하는 문제입니다.
그러나 저희는 이와 같은 유형의 문제는 내지 않기로 했습니다. 왜냐하면 특정 공식을 모르면 전혀 손을 댈 수 없고, 반대로 공식을 알면 암산으로도 풀 수 있을 정도로 쉬워지기 때문입니다. 이렇게 특정 공식에 깊게 의존하는 문제는 풀이 과정에서의 재미와 깊이가 떨어집니다. 반면, 파인만 트릭이나 복소해석학처럼 공식을 알더라도 추가적인 아이디어와 테크닉이 요구되는 경우에는 출제를 허용하였습니다.
다만 특정 공식에 의존하는 경우에도 그 단점을 충분히 상쇄할 만큼 문제의 비주얼이 아름답다면 출제 대상으로 삼았습니다. 예를 들어 아래의 [8강1경기문제1]의 경우 라는 공식에 크게 의존하지만, 문제의 형태가 매우 우아하기 때문에 출제 문제에 포함시켰습니다.
이번 대회에 출제된 문제들 가운데 생김새가 특히 돋보이는 문제들은 다음과 같습니다.

다음으로 소개할 것은 스크린 시스템입니다. 여기서 스크린 시스템이란, 스크린에 띄워지는 화면, 그 화면을 구성하는데 필요한 데이터, 이를 관리·조작하는 페이지까지 모두 아우르는 개념입니다. 거창하게 들리지만, 간단히 말해 채점과 결과 산출 과정을 자동화한 시스템이라고 생각하시면 됩니다.
스크린 시스템의 동작 흐름
작동 과정을 상세하게 설명하면 다음과 같습니다. 채점자는 채점 페이지에 접속해 참가자들의 정답 여부를 입력합니다. 입력된 채점 데이터는 중앙 데이터베이스에 실시간으로 전송되며, 이는 곧 진행자용 스크린 페이지까지 도달합니다. 이때 참가자들의 점수, 최종 등수 등 필요한 지표들은 자동으로 계산됩니다. 마지막으로 진행자는 알맞은 화면이 송출되도록 화면을 조작하며 대회를 진행하면 됩니다.
이러한 시스템은 이미 〈더 지니어스 in CLS〉 시리즈에서 도입한 바 있습니다. 덕분에 진행이 훨씬 매끄러워지고 불필요한 지연이 발생하지 않는다는 장점이 있었습니다. 예를 들어 MIT 대회에서는 엑셀로 데이터를 관리하는 방식을 쓰는데, 이는 숫자를 직접 입력해야 하고 디자인을 마음대로 커스터마이징할 수 없다는 한계가 있습니다. 반면 저희는 "데이터 입력 페이지"와 "데이터 표시 페이지"를 분리하여, 채점자는 GUI로 편리하게 채점이 가능하고 참가자들에게는 깔끔한 화면만을 보여줄 수 있도록 했습니다.
실제 대회때의 모습은 아래와 같습니다.
스크린의 좌측에는 참가자들의 점수, 등수가 자동으로 계산되어 보여집니다. 우측의 문제 타이머는 진행자가 조작 가능합니다.
마지막으로 행사에 필요한 물품들을 세심하게 준비했습니다. 이는 제가 여러 행사에 참여하면서 느꼈던 점들을 반영한 결과입니다.
다과 및 물
upstage에서 주최한 AI 관련 행사에 참석했을 때, 다과를 제공하니 훨씬 편안하고 자유로운 분위기가 되었던 경험이 있습니다. 이를 참고하여 저희 대회에서도 참가자들이 긴장을 풀고 편안하게 참여할 수 있도록 다과와 물을 준비했습니다.
문제지
2023년 서울대학교 적분대회에서는 참가자들이 칠판 앞에 서서 스크린에 뜨는 문제를 보고 문제를 풀어야 했는데, 이 때문에 목도 아프고 작은 글씨가 잘 보이지 않는 불편함이 있어 반드시 개선해야겠다고 생각했습니다. 저희는 MIT 적분 대회의 방식을 참고해 문제지를 직접 출력하여 준비했습니다. 덕분에 참가자들은 문제지와 칠판만 보면서 문제를 풀 수 있게 되어 더욱 집중할 수 있었습니다.
한 손에 들고 보기 편한 A6 사이즈의 문제지
상품
제가 〈더 지니어스 in CLS: Frosibite〉를 진행했을 때, 참가자들이 끝까지 게임에 집중하지 못한 이유 중 하나가 '상품의 부재'였다고 느꼈습니다. 그래서 이번 대회에서는 이를 보완하기 위해 다양한 상품들을 준비했습니다. 블루투스 헤드셋 · 치킨 기프티콘과 같은 일반 상품과, 서울대학교 교수님들의 사인이 담긴 도서를 동시에 준비해 모든 참가자가 만족할 수 있도록 구성하였습니다. 실제로도 푸짐한 상품들 덕분에 참가자들이 끝까지 대회에 집중하는 모습을 볼 수 있었습니다.
서울대학교 교수(저자)님들께 직접 받은 사인
대회를 개최했기 때문에 많은 사람들이 알 수 있도록 홍보가 필요했습니다. 예전처럼 학과 단톡방, 학교 커뮤니티 등에 홍보 글을 작성했는데요, 이번에는 서울대학생 뿐만 아니라 모든 대학생들이 참여할 수 있는 대회이다보니 어떻게 모든 대학생들에게 홍보를 할 수 있을지 고민했습니다. 그리고 저는 그 해결책이 인스타그램이라고 생각했습니다.
우선 제 인스타그램 계정에 포스터를 게시글 및 스토리로 업로드했고, 추가로 스토리 이벤트도 한번 진행해봤습니다. 해당 이벤트는 홍보 포스터를 스토리로 공유하면 추첨을 통해 경품을 주는 방식이었는데, 한 사람의 스토리 공유만으로도 수십~수백 명의 사람들에게 대회가 노출될 수 있다는 점을 노린 전략이었습니다.
그러나 결과적으로 기대만큼의 효과는 없었습니다. 참가자 층이 주로 서울권 대학생으로 제한되어 있다보니, 인스타그램 사용자 전체를 대상으로 한 홍보는 맞지 않았던 것 같습니다. 차라리 온라인 수학 커뮤니티와 같이 실제 잠재 참가자들이 모여있는 공간을 공략하는 편이 훨씬 효과적이었을 것 같습니다. 이번 경험을 통해 홍보는 단순히 "얼마나 넓게 알리는가"가 아닌 정확한 "타깃 설정"이 중요하다는 점을 느끼게 되었습니다. 다음에는 관심 있는 참가자가 실제로 활동하는 커뮤니티나 학과 네트워크를 중심으로 홍보 전략을 짤 계획입니다.
공식 홍보 포스터(1,2) 및 인스타그램 스토리 이벤트 포스터(3)
처음에는 단순히 영상 촬영만 해둘 생각이었는데, MIT 대회처럼 실시간 중계도 해보자는 이야기가 나왔습니다. 확인 결과 다행히 강의실에 필요한 장비가 이미 갖춰져 있었고 유튜브 계정만 연동하면 바로 생중계가 가능했습니다. 덕분에 개인 사정으로 인해 참석하지 못한 분들도 함께 대회를 즐길 수 있게 되었습니다. 대회 영상은 아래 링크에서 다시보실 수 있습니다.
처음 기획에 따르면 예선 점수가 높은 16명이 선발되어 본선에 참가하는 방식이었습니다. 참가자 모집을 진행했을 때 25명이 지원하여 인원이 충분하다고 생각했지만, 막상 예선을 진행해보니 실제로는 8명만 현장에 나타났습니다. 본선을 진행하기 위해서는 적어도 16명이 필요했기 때문에 부족한 인원을 채우기 위해 다방면으로 노력했습니다. 구글 폼 신청자 전원에게 전화를 돌려 참여를 격려하고, 에브리타임 등 온갖 커뮤니티에 홍보 글을 작성했습니다. 그 결과 5명이 추가되어 13명의 참가자를 확보하였습니다.
그러나 이틀만에 4명이 개인 사정으로 인해 불참을 통보했고, 한명은 아무 연락 없이 당일에 오지 않았습니다. 결국 본선은 다시 8명으로 축소된 채 진행하게 되었습니다. 만약 전화를 돌려 추가 인원을 확보하지 않았다면, 본선 8강조차 구성하지 못하는 심각한 상황이 되었을 것입니다. 또한 다행히 8강은 정상적으로 진행할 수 있었으나 16명에서 8명으로 줄어드는 최종진출전의 긴장감과 재미를 살리지 못한 것이 정말 아쉽습니다. 이번 행사에서는 문제 퀄리티, 준비물, 스크린 시스템 등 모든 요소가 완벽했음에도 유일한 흠이 참가자 모집의 실패였다고 생각합니다.
그 이유를 생각해보니 가장 큰 원인은 개최 날짜에 있었습니다. 대회를 학기 초 금요일에 열어 다른 행사들과 일정이 겹친 것 입니다. 참가자 모집 중에 파악된 것만 해도 전기정보공학부 과 행사, 컴퓨터공학부 과 행사(ComSee), 한양대학교 축제가 있었습니다. 서울대학교 축제는 전날에 끝나서 다행이지, 이 축제까지 일정에 겹쳤으면 더욱 참가자가 부족해졌을 것입니다. 그동안 제가 개최했던 〈더 지니어스 in CLS〉 시리즈는 모두 방학 기간에 개최했기 때문에 학기 중 행사에서 날짜 선택이 얼마나 중요한지 알지 못했습니다. 이번 경험을 통해 내년에 적분 챔피언십을 다시 개최한다면, 날짜 선정에 더 심혈을 기울여야겠다고 다짐했습니다.
행사를 개최할 때 중요한 요소들: 컨텐츠, 장소, 개최 날짜(new!)
이렇게 약 2달간 준비해온 〈2025 적분 챔피언십〉을 처음부터 끝까지 되돌아봤습니다.
〈2025 적분 챔피언십〉은 학교 전체를 대상으로 개최한 제 첫 번째 대형 프로젝트였습니다. 대회를 준비하면서 문제를 만들고, 스크린 시스템을 개발하고, 실제 행사를 진행하면서 직접 행사를 만들어간다는 즐거움과 기쁨을 얻을 수 있었습니다. 또한 수학을 좋아하는 사람들이 한 자리에 모여 문제를 푸는 모습을 보면서 동질감과 소속감을 느꼈고, 앞으로도 이런 자리를 계속 만들어가고 싶다고 느끼게 되었습니다.
물론 아쉬운 점도 있었습니다. 특히 참가자 모집과 개최 날짜 선정의 중요성을 몸소 깨달을 수 있었는데, 이번 행사가 흥행할 수 없었던 결정적인 이유가 여기에 있었다고 생각합니다. 정말 아쉬웠지만 이런 교훈을 바탕으로 다음 대회를 더욱 완성도 있게 만들어가는 과정이라고 생각하고 받아들이는 것이 중요하다고 생각합니다. 이번 대회를 통해 얻은 가장 큰 교훈은, 아무리 좋은 컨텐츠와 완성도 높은 준비가 있더라도 그 컨텐츠들을 함께 즐길 수 있는 사람들이 모였을 때 비로소 빛을 발한다는 것입니다. 앞으로도 많은 사람들이 함께 즐길 수 있는 장을 마련하기 위해 계속해서 노력할 것입니다.
〈2025 적분 챔피언십〉을 즐겨주신 여러분들 모두 감사합니다.

© 2025 geniusLHS. All rights reserved.